Tuesday, 03 de March de 2026
PROCESO DE VINCULACIÓN AL SERVICIO SOCIAL OBLIGATORIO SEGUNDO SEMESTRE 2026 (MEDICINA, ODONTOLOGÍA, BACTERIOLOGÍA Y ENFERMERÍA)
Proceso de profesionales de la salud para Servicio Social Obligatorio se dará inicio a partir del 1 al 8 de Marzo del 2026, para las plazas disponibles del segundo semestre del año 2026.
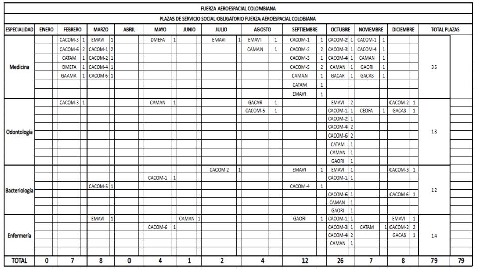
NÚMERO DE PLAZAS DISPONIBLES POR MES A NIVEL NACIONAL.
Para iniciar el proceso, deben ingresar a la página de la Dirección General de Sanidad Militar, Jefatura de Salud de la Fuerza Aeroespacial Colombiana mediante el link de inscripción:
https://forms.office.com/Pages/ResponsePage.aspx?id=SBKk4_k2t0GPt1PXaElz4o6Bf_ffw6pFrI zMPoDRfQlURFRRM1BRSFVQQTFJUzFWTjRLRTRMSUVNRy4u
Así mismo tener presente la información relacionada a continuación: Proceso Servicio Social Obligatorio:
El objetivo es vincularse a la realidad Nacional y consolidar con experiencias los conocimientos académicos adquiridos. El Servicio Social Obligatorio se creó para proveer con Servicios Profesionales la atención de salud a zonas y poblaciones desprotegidas.
El Servicio Social Obligatorio SSO se encuentra reglamentado mediante Resolución No.774 de mayo del 2022, en la cual el Ministerio de Salud y Protección Social, reglamenta el SSO para los egresados de los programas de educación superior del área de la salud Medicina, Odontología, Enfermería y Bacteriología.
La Jefatura Salud Fuerza Aérea Colombiana, cuenta con 79 plazas activas para la prestación del Servicio Social Obligatorio, a nivel Nacional en las especialidades de Medicina, Odontología, Enfermería y Bacteriología.
Nuestro talento humano se reconoce por su profesionalismo, buenas prácticas y competencias, como son: el trabajo con calidad, el compromiso y la orientación tanto a nuestros usuarios como a cliente interno, requiriendo así el mejor talento para todos nuestros servicios.
La disponibilidad asistencial en los Establecimientos de Sanidad Militar se realiza de acuerdo a la Jornada Laboral para funcionarios públicos.
Toda la información general se publicará a través de la página web, además en la cuenta de Twitter: @JEFSAFAC.
Todo lo referente a citaciones, pruebas y asignación de plazas les será comunicado al correo electrónico suministrado por el aspirante.
ASPECTOS RELEVANTES
El personal de SSO tendrá dedicación exclusiva y de tiempo completo en la Unidad a la cual es destinado, quedando administrativa y disciplinariamente, bajo las normas de la Unidad y del Establecimiento de Sanidad Militar -deberes, derechos, horarios, disponibilidades, medidas de control sanitario, etc.
La realización de diplomados, especializaciones, cursos, actualizaciones y demás eventos académicos que implique que los profesionales se tengan que retirar de la Unidad y alterar en una u otra forma las actividades, deben ser postergados al finalizar su SSO, teniendo en cuenta su dedicación exclusiva al servicio del establecimiento donde prestan sus servicios.
ASIGNACIÓN SALARIAL
Incentivos Adicionales:
PRIMA DE NAVIDAD
PRIMA DE VACACIONES: equivalente a -20- veinte días.
BONIFICACIÓN ESPECIAL DE RECREACIÓN: Al adquirir el derecho a vacaciones, tienen derecho al reconocimiento y pago de una bonificación especial de recreación en cuantía equivalente a -2- dos días de la asignación básica mensual.
NOTA: El personal que presta el Servicio Social Obligatorio es posesionado como funcionario público y es afiliado a: EPS, Fondo de Pensiones, Caja de Compensación y ARL.
VACUNACIÓN
El personal de servicio social obligatorio en la FAC, deberá contar con el siguiente esquema de vacunación en el momento de iniciar y tomar posesión de su cargo, el cuál es de carácter obligatorio:
Actividades únicamente asistenciales:
VACUNA / Indicación / Observaciones Hepatitis A / 1 dosis /Sin observaciones
Hepatitis B / 3 dosis / 1 Dosis - 2da Dosis a los dos meses de la 1ra-3ra Dosis a los 6 meses de la 1ra. El aspirante debe tener el esquema completo -3 dosis-. Un -1- refuerzo al esquema cada 15 años.
Td Toxoide Tetánico y Diftérico / Mujeres 5 dosis- Hombres 3 dosis. NOTA: Este esquema de vacunación se requiere hasta los 49 años / Mujeres:1 Dosis. 2da Dosis al mes de la 1ra 3ra Dosis a los 6 meses de la 2da. 4a Dosis al año de Ia 3ra. 5ta Dosis al año de la 4ta. Un -1- refuerzo cada 10 años al terminar esquema. Hombres:1 Dosis. 2da Dosis al mes de la 1era. 3ra Dosis a los 6 meses de Ia 2da. Un -1- refuerzo cada 10 años al terminar esquema.
Influenza Estacional / 1 dosis / Si Ia contratación se realiza antes del mes de mayo se debe solicitar la vacuna del año anterior. Si la contratación se realiza posterior al mes de mayo se debe solicitar la vacuna del año vigente.
NOTA: La única justificación para Ia NO aplicación es la no disponibilidad en el país.
Fiebre amarilla / 1 dosis / Solo se debe solicitar al personal que desarrolle actividades en zonas inferiores a 2.000 m sobre el nivel del mar.
Solo se debe solicitar a menores de 60 años, sin antecedentes de enfermedades que afectan el sistema inmunológico.
Varicela / 1 dosis / Solo se debe solicitar a menores de 60 arias sin antecedente de vacunación o de haber tenido la enfermedad, y sin antecedentes de enfermedades que afecten el sistema inmunológico.
Tripe viral -TV- sarampión, rubeola y parotiditis / TV -SRP- 1 dosis con cepa Jeryl Lynn adultos. NOTA: No es válida la bivalente -sarampión y rubeola / Solo se debe solicitar a menores de 60 años, para todo el país y sin antecedente de enfermedades que afecten el sistema inmunológico.
DPTA-Difteria-Tétano-Tosferina a celular / 1 dosis/ Esta vacuna requiere un -1- refuerzo al esquema cada 10 años. NOTA: si certifica esta vacuna, se puede homologar por Td, pero no lo contrario.
Neumococo / 1 dosis / El refuerzo cada cinco -5- años se deberá solicitar al personal que fue vacunado con vacuna polisacárida.
COVID-19, de acuerdo a lo dispuesto por el gobierno nacional.
NOTA: no son válidos para el ingreso los esquemas de vacunación aplicados antes de los nueve
-9- años, toda vez que las cepas utilizadas no son para adultos y la memoria inmunológica no se mantiene.
No se solicitan las vacunas vivas atenuadas -descritas en el numeral 5- Definiciones-, al aspirante que informe a través de certificado médico de su EPS, que ha sido diagnosticado con alguna patología autoinmune o inmunocomprometida; las demás vacunas del esquema correspondiente a la labor, se ordenaran, previa solicitud al médico tratante de un concepto de viabilidad de aplicación.
Se debe informar a todos los aspirantes a contrato, nombramiento en planta y nombramiento para la prestación del servicio social obligatorio que las vacunas certificadas en el carné de vacunación deben reposar en el aplicativo: Programa Ampliado de Inmunizaciones Aplicativo PAI
2.0 de la Secretaría Distrital de Salud de Bogotá o PAI Nacional del Ministerio de Salud y Protección Social.
En caso de no encontrarse registrada la información en estos aplicativos, se debe verificar en el carné que cada vacuna suministrada contenga la siguiente información: lote, fecha de vacunación, dosis aplicada e información del punto vacunación, es responsabilidad del aspirante dirigirse con el carné de vacunación a su EPS para que validen, actualicen Ia información en dichos aplicativos y entregar copia al área de SST.
Partiendo del principio de Ia buena fe, lo certificado en el carné de vacunas presentado por el aspirante, se asume como un hecho cierto y veraz; Ia rendición de información no comprobable mediante evidencia, se configura como falsedad en documento público, hecho que puede ser objeto de sanciones disciplinarias.
En el caso de varicela y hepatitis B, los aspirantes que manifiesten haber tenido la enfermedad o tener aplicadas las vacunas sin tener el soporte en el PAI o carné de vacunación, deben anexar soporte de titulación de anticuerpos para cada una.
PARA LA JEFATURA DE SALUD ES GRATO SU INTERÉS POR PARTICIPAR EN NUESTRO PROCESO DE SERVICIO SOCIAL OBLIGATORIO Y PERTENECER A NUESTRA FUERZA AEROESPACIAL COLOMBIANA.
T2. MARIN CAMACHO MARIA DEL PILAR
Líder Proceso SSO-Oficina Gestión Humana JEFSA-FAC
